扬州君品电子•值得信赖 Yangzhou Junpin Electronics Electronic
搜索查询
热门搜索:
DBF MSB MBS MBM MBF GBJ GBL GBU GBP KBJ KBL KBP KBU K6/K8 KBPC/GBPC DBS DBM D3K/D4K/D8K DB BR6/BR8 WOB
产品中心
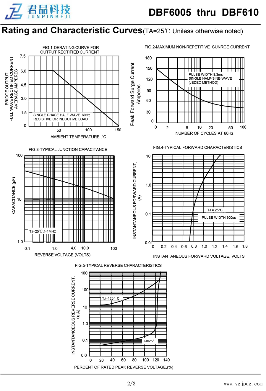
DBF610 | 更多产品详情联系[电话:19962498278 陈先生]
君品DBF2005~DBF210规格书.pdf
君品DBF4005~DBF407规格书.pdf
君品DBF4005~DBF410规格书.pdf
君品DBF3005~DBF310规格书.pdf
君品DBF301~DBF307规格书.pdf
君品DBF6005~DBF610规格书.pdf
上一篇:DBF410
下一篇:D6UB10